中央人民政府
|
内蒙古自治区人民政府
|
巴彦淖尔市人民政府
|
蒙文版
登录
|
注册
|
无障碍浏览
|
长者模式
|
用户中心
|
退出
|
无障碍浏览
首 页
县情概况
领导之窗
政府信息公开
办事服务
互动交流
百湖之乡
当前位置 >>
首页
>>
磴口县门户网站
>>
政府信息公开
>>
法定主动公开内容
>>
重点领域信息
>>
公共文化服务
磴口县图书馆元宵节线上有奖猜灯谜活动,获奖名单已出,快来领奖吧
发布日期: 2023-02-08
信息来源: 磴口县图书馆
编辑:
打印本页
分享到:
微信
qq
微博
空间
磴口县图书馆元宵节线上有奖猜灯谜活动,获奖名单已出,快来领奖吧
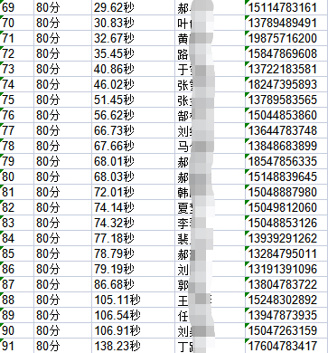
正月十五元宵节是我国的传统节日。为深入学习宣传贯彻党的二十大精神,传承中华优秀传统文化,进一步丰富群众精神文化生活,营造欢乐祥和的节日氛围,磴口县图书馆举办“欢乐闹元宵 快乐猜灯谜”元宵节线上有奖猜灯谜活动,现将活动获奖情况发布如下:
相关文档:
上一篇:|
磴口县文化市场综合行政执法局开展文化市场行业法律法规培训班
下一篇:|
欢乐闹元宵 快乐猜灯谜 | 磴口县图书馆元宵节线上有奖猜灯谜活动
主办:磴口县人民政府办公室 承办:磴口县政务服务与数据管理局
蒙ICP备13001742号
蒙公网安备 15082202000101号
Email:axxaty@163.com 网站标识码:1508220008 联系电话:0478-4406887
网站地图
“微磴口”公众号